22:59
[익명]
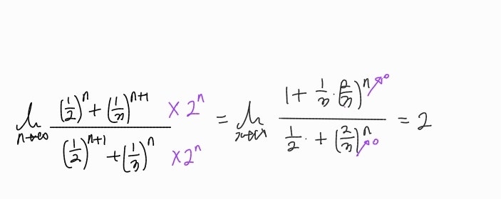
미적분 무한대분의 무한대 이건 지수를 무한대로 보내면 0/0꼴에 가까운 거 같은데 왜 분모
이건 지수를 무한대로 보내면 0/0꼴에 가까운 거 같은데 왜 분모 분자 각각 영향력이 가장 크고 절댓값이 큰 1/2만 두고 나머진 0취급해서 무한대 분의 무한대로 푸는 걸까요?
0/0꼴 이므로 계산 가능한 것으로 만들어줘야하기 때문에 해소할 수 있는 것을 곱해줍니다. 이 원리를 정리하면 '절댓값이 큰것으로 나누어 계산한다'가 됩니다. 무한대분의 무한대로 계산하는 것이 아닙니다.
회원가입 혹은 광고 [X]를 누르면 내용이 보입니다
-
창원대 수시 .. 창원대를 목표로 하고 있는 09년생입니다 지금 제 내신이 5등급제 기준으로
2025.12.01 -
목포에서 롯데월드 가는 법 목포 버스 터미널에서 롯데월드로 갈 수 있는 경로 알려주세요
2025.12.01 -
애니?리뷰 유튜버 찾아주세요ㅠㅠ 무슨 검정머리 남자 캐릭터에 더빙하신분도 남자였던거같은데기승전결로 나눠서 기. 하고 설명하고
2025.12.01 -
발로란트 제한뜨는데 어떻게 해야하나요? 친구가 발로란트 한번해보자고 계정 빌려줬는데 제한이라고 접속이 안되는데 어떻게 해야하나요?
2025.12.01 -
KTX 12월31일 예매 수원이나 서울에서 부산으로 가는 열차를 예매하려고 하는데 언제 열리나요 오늘
2025.12.01 -
한국 지금 쉬었음청년40만명이라는데 4년대학졸업생이 많다던데요 쉬었음청년이 40만명인데 문제가 무엇인가요?
2025.12.01